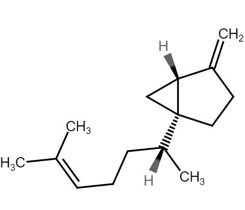
sesquisabinene A
| Compound Structure: | 
                                                 
                                                 | 
                                        ||||||||||||||||||||||||||||||||||||||
|---|---|---|---|---|---|---|---|---|---|---|---|---|---|---|---|---|---|---|---|---|---|---|---|---|---|---|---|---|---|---|---|---|---|---|---|---|---|---|---|
| Synonyms: | sesquisabinene A ;CHEBI:143551 ;(1R,5R)-1-[(2R)-6-methylhept-5-en-2-yl]-4-methylidenebicyclo[3.1.0]hexane | ||||||||||||||||||||||||||||||||||||||
| Compound ID: | NMPC-1479 | ||||||||||||||||||||||||||||||||||||||
| PubChem ID: | |||||||||||||||||||||||||||||||||||||||
| Molecular Formula: | C15H24 | ||||||||||||||||||||||||||||||||||||||
| Canonical SMILES: | CC(CCC=C(C)C)C12CCC(=C)C1C2 | ||||||||||||||||||||||||||||||||||||||
| InChIKey: | DYUSFBWNOCHOFP-RBSFLKMASA-N | ||||||||||||||||||||||||||||||||||||||
| About the compound: |   Sesquisabinene A is a sesquiterpene that consists of (1R,5R)-2-methylidenebicyclo[3.1.0]hexane having a (2R)-6-methylhept-5-en-2-yl group at position 5. It has a role as a plant metabolite.  | 
                                        ||||||||||||||||||||||||||||||||||||||
| Properties: | 
                                                 Chemical and Physical Properties 
 
Source: PubChem              | 
                                        ||||||||||||||||||||||||||||||||||||||
| Source Species: | 
                                               
                                                                                                  Centratherum punctatum |